Integral Calculator Brand new feature The Integral Calculator View larger
  • Integral evaluator outlet
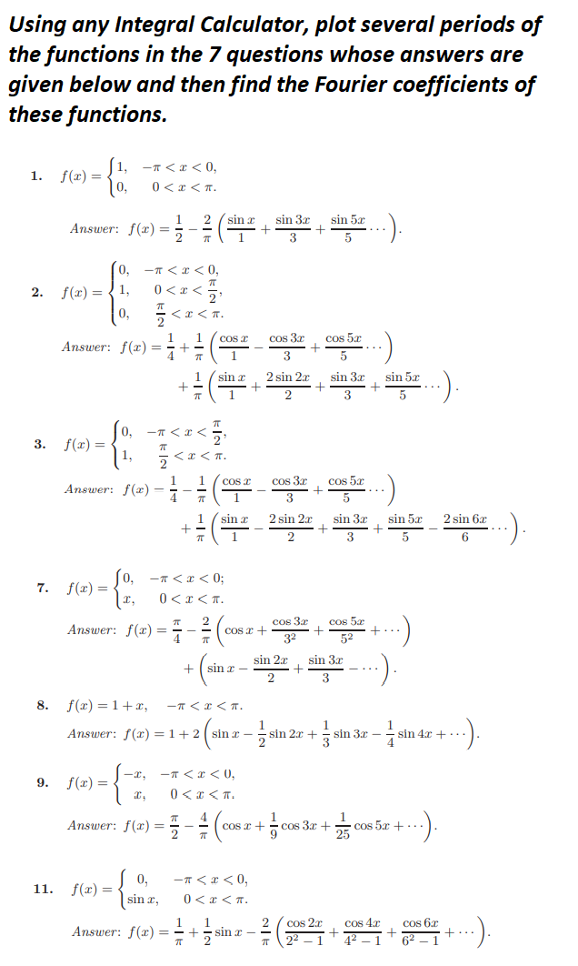
  • Solved Using any Integral Calculator plot several periods Chegg
  • Integral evaluator outlet
  • Integral Calculator Integrate with Wolfram Alpha
  • Symbolab Blog Advanced Math Solutions Integral Calculator

Integral evaluator outlet

Integral evaluator outlet, Integral Calculator Brand new feature The Integral Calculator outlet

$92.00

SAVE 50% OFF

$46.00

- +

Add to wishlist


Frasers Plus

$0 today, followed by 3 monthly payments of $15.33, interest free. Read More


Integral evaluator outlet

Integral Calculator Brand new feature The Integral Calculator

Integral Calculator with Steps for Android Download Bazaar

Solved Using any Integral Calculator plot several periods Chegg

Integral Calculator Microsoft Apps

Integral Calculator Integrate with Wolfram Alpha

Symbolab Blog Advanced Math Solutions Integral Calculator

Description

Product Name: Integral evaluator outlet
Integral Calculator Examples Online Integral Calculator outlet, Integral Calculator Integrate with Wolfram Alpha outlet, Definite Integral Calculator outlet, How to Use an Integral Calculator 7 Steps with Pictures outlet, Results from an integral calculator. How does it simplify to the outlet, a. The alternative version of problem 5 by Integral Calculator outlet, Definite Integral Calculator GeoGebra outlet, Symbolab Blog Advanced Math Solutions Integral Calculator outlet, Double Integral Calculator Online Double Integral Calculator outlet, Online Integral and Derivative Calculator outlet, Definite Integral Calculator Download outlet, Solved Q Integral Calculator 1. Find The Position Funct Chegg outlet, Definite Integral Calculator Online Definite Integral Calculator outlet, Could someone help me solve this I tried an integral calculator outlet, Answered Use a CAS double integral evaluator to bartleby outlet, Solved I frequently use the website outlet, INTEGRATION CALCULATOR PART 2 Integration by substitution outlet, Integral calculator Try this free online incredible tool outlet, Integral Calculator outlet, Symbolab Blog Advanced Math Solutions Integral Calculator outlet, Definite Integral Calculator Calculate Definite Integration Online outlet, Symbolab. Step by step calculator Download Scientific Diagram outlet, Determine the Value of a Definite Integral on the Graphing Calculator outlet, indefinite integral Naked Science Forum outlet, integration How to compute integral on calculator Mathematics outlet, Solved c. Use a grapher s or computer s integral evaluator outlet, Integral Calculator with Steps by Asad Ahsan outlet, Solved Please recommend to me the best integral calculator site outlet, Integral Calculator Brand new feature The Integral Calculator outlet, Integral Calculator with Steps for Android Download Bazaar outlet, Solved Using any Integral Calculator plot several periods Chegg outlet, Integral Calculator Microsoft Apps outlet, Integral Calculator Integrate with Wolfram Alpha outlet, Symbolab Blog Advanced Math Solutions Integral Calculator outlet, Integral Calculator With Steps outlet.

Integral evaluator outlet